| Avertissement Les Fiches Techniques ont pour objet de rappeler aux adhérents du club CIEL les principales règles de sécurité à respecter lors des séances d’entraînement ou à l’occasion de sorties. Elles ne se substituent en aucun cas à la formation pratique que tout grimpeur doit acquérir auprès d’un cadre expérimenté. La pratique sous surveillance est la meilleure façon d’apprendre, et ces fiches ne sauraient remplacer l’expérience et les conseils des formateurs. Le club CIEL ne peut donc être tenu pour responsable en cas de mauvaise application de ces recommandations. Elles se basent en grande partie sur les préconisations de la Fédération Française de la Montagne et de l’Escalade (www.ffme.fr). Il convient également de se tenir régulièrement à jour des recommandations de la FFME. |
Cette Fiche Technique décrit 3 principes qui sont liés :
– Facteur de Chute
– Force de Choc
– Effet Poulie
Facteur de Chute
Le facteur de chute est le rapport entre la Hauteur de Chute et la Longueur de corde capable d’amortir la chute


Si un grimpeur est 2.50m au dessus de sa dernière dégaine, sa hauteur de chute sera de 5.00m
> Si la Longueur de corde est de 20m, alors le Facteur de Chute sera de 5/20 = 0.25
> Si la Longueur de corde est de 10m, alors le Facteur de Chute sera de 5/10 = 0.5
> Si la Longueur de corde est de 5m (2.5m avant la dégaine et 2.5m après la dégaine), alors le Facteur de Chute sera de 5/5 = 1
> Si la Longueur de corde est de 2.5m (Chute au départ d’un relais en grande voie), alors le Facteur de Chute sera de 5/2.5 = 2 !! > DANGER
Attention :
* C’est également valable en moulinette ou pour l’assurage d’un second. Pour un assurage depuis le sol, la longueur de corde entre le sol et le relais permet de garantir un facteur de chute faible. Mais dans le cas d’un assurage depuis un relais, plus le second s’en approche, et plus il faut être vigilant sur le ravalage de corde pour éviter un facteur de chute trop important
* De même, c’est aussi valable lors d’une remontée sur corde. Plus on remonte, plus il faut être vigilant sur le ravalage de corde pour éviter un facteur de chute trop important
Précautions

En cas de fort tirage, la longueur efficace de corde se réduit beaucoup
> Augmentation du Facteur de chute
Il est donc important de limiter le tirage en ayant des dégaines de différentes longueurs.
(Les 2 à 3 premières dégaines doivent cependant être courtes)
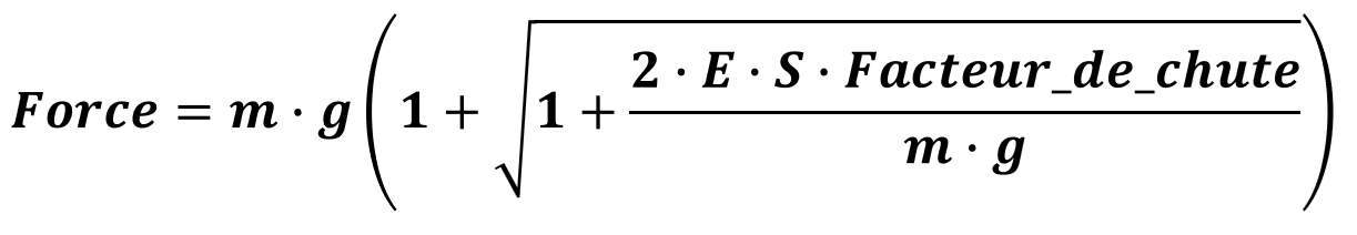
Force de choc
La Force de choc est la force qui s’exerce sur le grimpeur lorsqu’il chute.

m : la masse du grimpeur (en kg)
g : la gravité (g = 9.81 m/s²)
E : le Module d’Young de la corde (sa raideur, ou son élasticité) (en Pa)
S : la section de la corde (en m²)
et le Facteur de Chute
Pour diminuer la Force de choc, il est donc nécessaire de limiter le Facteur de chute !
En pratique
Voici un ordre de grandeur de Force de choc, en considérant une corde à simple de diamètre 10mm, et E = 350 MPa

En vieillissant, la raideur d’une corde va beaucoup augmenter, et ne permettra plus d’amortir la chute comme il faut… C’est pour cela qu’il est indispensable de respecter les mises au rebut !
Accélération maximale du corps humain 15g ce qui correspond à 12 kN pour quelqu’un de 80kg
Et les cordes dans tout ça ?
Un fabricant de cordes indique la force choc max des cordes (norme EN 892) :
* Corde à simple 
Critère de la norme : Un grimpeur d’une masse de 80 kg, pour un facteur de chute de 1.77
Force choc max = 12 kN max (1200kg) d’après la norme.
En réalité, les cordes à simple sont souvent autour de 8 kN
* Corde à double
Critère de la norme : Un grimpeur d’une masse de 55 kg, pour un facteur de chute de 1.77 sur un brin
Force choc max = 8kN (800 kg) sur un brin de la corde à double.
On ne passe qu’un seul brin par dégaine pour diminuer le tirage et la force de choc. Si on passe les 2 brins, la force de choc augmente !
En réalité, les cordes à double sont souvent autour de 5 kN … mais davantage pour les cordes « triple norme » : 7 kN
Les calculs avec ces valeurs de force donneraient :
1 brin, chute 55kg facteur 1.77 → 8 kN max (800 kg) d’après la norme
1 brin, chute 80kg facteur 1.77 → 10 kN (1000 kg)
2 brins, chute 80kg facteur 1.77 → 13.5 kN (1350 kg) (! On dépasse les 12kN acceptable par le corps humain. Il y a eu une erreur lors de l’établissement de la norme, il aurait fallu mettre un critère à 7kN max sur 1 brin avec 55kg)
Mais pas de panique, en réalité, les cordes à double ont souvent une force de choc (1 brin, 55kg, facteur 1.77) autour de 5 kN … mais davantage pour les cordes « triple norme » : 7 kN
| Pourquoi un test avec 55kg pour les cordes à double ? Les cordes à double sont prévues pour être utilisées en brins séparées de manière alternative. L’exigence retenue est qu’un seul brin doit donc pouvoir retenir une chute de facteur 2 avec une masse de 80kg. Faire un test sur une seule chute est trop discriminant (problème de reproductibilité du test). Aussi on a cherché quelle masse il fallait utiliser pour que 5 chutes avec une telle masse soit équivalente à une seule sous 80kg. Une étude scientifico-empirique a démontré que les critères « nombre de chutes » et « masse » étaient liés par la relation : . On a ainsi Attention, cela ne veut pas dire que vous pouvez assurer un grimpeur sur un seul brin de corde ! Source : ENSA et PETZL |
* Corde jumelée
Critère de la norme : Un grimpeur d’une masse de 80 kg, pour un facteur de chute de 1.77 sur les 2 brins.
Force choc max = 12kN (1200 kg) sur les 2 brins (toujours clipper les 2 brins ! Pas de flèche possible)
Effet Poulie
En cas de chute, le dernier point mousquetonné supporte à la fois la force de choc provenant du grimpeur mais aussi la force venant de l’assureur qui arrête la chute, et qui équilibre donc les forces. Ces deux forces s’ajoutent au niveau du dernier point mousquetonné, qui fait office de poulie, d’où le nom « effet poulie ».
La force venant de l’assureur est en réalité plus faible que la force de choc transmise au grimpeur à cause du frottement dans les différents mousquetons.

Le dernier point mousquetonné voit donc 2 x Force de choc. Soit au maximum 24kN (2400kg). C’est la raison pour laquelle la force de resistance des mousquetons, sangles et autres systèmes de sécurité est autour de cette valeur de 24kN.
Elle peut être parfois un peu inférieure, car en réalité, cet effort est diminué par les différents frottements dans les mousquetons (on considère souvent 1.6 x Force de choc)


